Reminder: as an Amazon Associate I earn small commissions from qualifying purchases made through the Amazon links below. I have no association to Hanna instruments and don’t receive any benefits from them.
When I started reading about the craft of pour over coffee, I learned that it’s important not to grind too fine, because past a certain point the coffee tastes harsh and astringent (i.e., a drying sensation of the tongue). This was very much in line with my experience, and on top of that, grinding too fine would result in a completely clogged V60 filter that would make it impossible to get all the water through without absurdly long brew times. For these reasons, I didn’t question the concept and I was happy to grind as coarse as everyone else.

The first thing that made be re-think this was an experiment performed by Barista Hustle, where they measured the extraction yield versus time for different cuppings made with narrow particle size distributions of different sizes, which they obtained by sifting ground coffee. If you have not already watched this video, you should definitely take a look; it provides quite compelling evidence that we are never really extracting the core of particles larger than about 100 microns within reasonable brew times and water-to-coffee ratios. To convince myself that their experiment was consistent with the idea of under-extracted particle cores, I created a simple model and fitted it to their data and found that water only seemed to extract down to a characteristic depth of about 40 microns, i.e., this is the depth where extraction is about 60% slower than surface extraction. This means a very large fraction of the coffee mass is almost never extracted at typical filter grind size !
Just the idea that we are wasting that much coffee is already not great, but I think the problem goes even further; as I argued in a previous post, the cells that are hidden deep under the surface of coffee particles still extract but slower; this will contribute flavors to your cup of coffee that have a very different profile compared to the cells near the particle surface. In other words, we are not doing a great job of extracting all the coffee cells evenly when we brew pour over. Does it mean even extractions will necessarily taste better ? No, but I think we should try it and see what happens.
Following this, Matt Perger was shouting from the rooftops about the virtues of grinding finer, and there was even talk of using a chemistry Büchner funnel for filter coffee. I thought he potentially had a point, and I became very interested in the idea of getting past the astringency limit. I started experimenting with Turkish ground coffee brewed on the siphon with limited success; it only worked well with a couple coffee beans. I also tried the Büchner funnel; my friends Matt Leberman and Mitch Hale seemed to like it, but I never managed to brew something that I did not find very astringent. Dan Eils also sent me a nice 3D printed V-shaped vacuum brewer, which he called the Vac60, but I was still unable to brew coffee free of astringency if I used it with very finely ground coffee.

I thought maybe agitation was the problem, so I tried using the Melodrip with finely ground coffee and a couple different brew techniques, ranging from my usual two pours to Ray Murakawa’s full two stirred blooms, multi-pour method. Again, I always found the results too astringent, and worse than what I was obtaining with a coarser grind size. These poor results eventually pushed me away from experimenting with very finely ground coffee.

As I started to suspect I was not gonna be able to obtain great brews with the methods above, I decided to instead improve my grinder’s particle size distribution as much as I could. After some research, this is what led me to purchase a Weber Workshop EG-1 with the ultra low fines SSP burrs. Using my own imaging software, I verified that it indeed produced the narrowest particle size distribution I had seen amongst all the grinders I tested, ranging from several hand grinders to my previous Baratza Forté and even to industry standard Titus-aligned Mahlkönig EK43 grinders. I expected that dialing in the grinder would allow me to push my extraction yields very high, and to grind extremely fine.


To my surprise, this is not exactly what happened; I gained about 1% in average extraction yield compared to the Forté, but my brews suddenly tasted much cleaner, and the tasting notes were a lot more obvious, much like what you get from cupping. I attributed this to the quasi absence of fines produced by the SSP burrs that I installed on it (I still think this is the explanation). I was barely able to choke my V60 brews, even if I ground my coffee insanely fine, yet there was still a definitive limit in grind size below which my coffee tasted very astringent. Even more confusing, I did not seem to be observing a decrease in average extraction yield when I ground fine enough for my brews to taste bad, as I kept hearing should happen. I attributed this to my poor skills at brewing consistently, or measuring my coffee concentration accurately; I still think it was wiser not to trust myself too much back then, especially given that I struggled to brew two V60s in a row with brew times within 20 seconds or concentrations within 0.05% total dissolved solids (TDS) of each other.

So I spent the next several months significantly upping my consistency game. I insulated my kettle better with a Brewcoat (see my previous post about this); I found an obscure flow restrictor only available in Asia; I started logging every detail of my brews with two scales and a brew stand to record complete brew curves and see my kettle pour rates in real time; I significantly tightened my refractometer measurement procedure; I improved my measurements of brew water composition (see this post); and I even installed a measuring tape on my wall to always pour from the same height and impart the same amount of agitation to the V60 slurry. I also started weighing my dose with a precision of 0.01 grams for good measure; the effect of a 0.1 grams dose accuracy on calculated extraction yields is about the same as that of a 0.01% TDS measurement accuracy.


I don’t think measuring my coffee dose to 0.01 grams had a big impact on my repeatability, but it elucidated something that had been bothering me: sometimes my dose suddenly weighed 0.1 or even 0.2 grams less if I was very slow at preparing it. I now know that this is caused by water evaporating from the wet V60 filter, which means you will be mis-calculating your doses slightly if you take too much time to weigh your dose and compensate for that loss. I now take about 5 to 10 seconds to weigh my dose within 0.01 grams, which is fast enough to avoid any issue with evaporating water.
About 8 months ago, I passed the point where I was getting brews consistent to within about 0.4% in average extraction yield, which corresponds to differences of about 0.02% in TDS concentrations with my typical brew parameters. But only very lately, I finally passed the point where I am able to replicate brews to within 0.2% in average extraction yield across five days. Now, the fun is really starting because I can finally start to investigate how many variables influence extraction yield in a much more accurate way.
Just as I was getting these results, a new science paper about espresso rocked the media, which essentially argued that most third wave espressos are brewed with a very uneven flow, and that we might want to consider grinding espresso coarser for a more even extraction. That’s nice and all, but I don’t really drink espresso. I was still excited when I saw this figure:

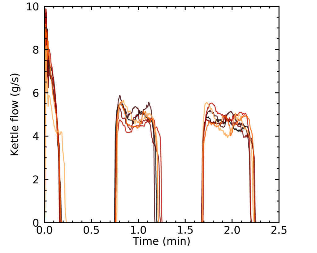
This shows exactly the “common knowledge” curve I was talking about earlier; if you grind too fine, average extraction yield goes down because your extraction becomes more uneven. As I had just achieved the kind of precision that allowed me to do this, I decided to build a similar curve for filter coffee. I brewed seven V60s in a row using the same coffee and grind settings ranging from 3.0 to 9.0 on the EG-1 and tried to replicate my brew technique as well as I could. Here’s what my kettle pours looked like across the six brews;

Not too bad, except for one brew (grind size 6.0) where my first kettle pour was a bit ahead. More interestingly, here are the TDS normalized by beverage weight tat I obtained. They are simply the average extraction yields divided by 14.4, as I normalized my results to a 20.0 grams dose and a 288 grams beverage weight:

This result actually confirmed the impression I had even a couple weeks after obtaining the EG-1; I am not brewing near the maximum average extraction yield… not at all ! A blind tasting revealed the best brew in this case was at grind size 8.0, and all those high-extraction brews at grind sizes below 6 did not taste great at all !
I do not know whether this would happen with different grinders, or if this is a weird feature about a very uniform particle size distribution. Regardless, I think it might be further indication that I’m not using my grinder to its full potential. One hypothesis that immediately jumped to my mind was that the deviation from a linear trend might indicate uneven flow. The mathematical model of Cameron et al. (2019) based on the diffusion of chemical compounds in a two-sized bed of coffee particles predicted a linear trend for an espresso brewed with even flow.
I could very well be wrong about this, but I don’t see an obvious reason for a similar model to produce a very different behavior at coarser grind size. The difference between filter and espresso brews might be that the regime over which flow becomes uneven happens on a very short range of grind sizes for espresso, whereas for filter coffee it is happening over a gigantic range. Because of this, my figure may be showing an increase of extraction yield that is due to the significant increase in available coffee particles surface as I was grinding finer. Thus, I thought the deviation from a linear trend may tell us about flow evenness:

But then I sat on this for a while, and thought more about it. Another hypothesis came to my mind, this one much simpler. What if uneven flow is not the main culprit for astringency when I grind just a bit too fine (say, at 5.0) ? What if I am just locked into this grind size restriction because of my a priori hypothesis that I should brew with a 1:17, or even 1:16 coffee-to-water ratio ?
When I brew tea (I sometimes do !), I can make almost anything astringent if I wait and steep it for too long. I think this might also be true of coffee, except for some unicorn exquisitely roasted high-quality green coffee (i.e., those coffees that tasted great with my Turkish siphon recipe). Only, percolating coffee is much more complicated because we don’t directly control steep time; we are under the tyrannic reign of water flow, unless we cut the brew with water still in the V60 – which would feel so wrong.
Locking my ratio to 1:17 means that I am using a fixed amount of solvent to extract flavors from the coffee particles. It is a relatively high ratio, which means that I am extracting aggressively fast. When I grind at my usual setting, I might be over-extracting just a small fraction of the coffee cells near the outermost surface of coffee particles, contributing a small amount of chemical compounds that cause astringency, but not enough for me to really taste that. But as I grind finer, this fraction of exposed coffee cells goes up, while my flow of water gradually goes down, causing an even more aggressive total extraction which leads to astringency.
In other words, the fine grind size is not necessarily the unique source of the problem; it might be the combination of long brew time and finer grind size that leads to a worse cup of coffee. So here’s an idea; what happens if we use less water, and then bypass the resulting cup of coffee with fresh water to obtain the preferred concentration ? This is very similar to what Scott Rao suggested in his books when dealing with very large doses in batch brewers; we end up not having enough flow, so we have to limit brew time or grind absurdly coarse. Hence the suggestion to use a smaller ratio and then bypass the result with brew water to reach the desired beverage concentration. We might want to try that even for single-cup pour over coffee, or at least when we are using a grinder that produces very little fines. If you grind so fine that your dry coffee grounds start to clump, or your filter clogs, we should not expect an improved taste regardless of the brew ratio ! It is also possible that fines will migrate into your cup, muddying the flavors if there are too many of them.
It is not guaranteed that the finer grind size will make up for the smaller amount of water; maybe our average extraction yields will go down or the brews will not taste as good, but I have started trying this out on a few coffees and my (very) preliminary results seem positive. I will definitely start investigating this more, and see how fine I can get without hitting astringency, and I’ll report back with some results ! Maybe I’ll finally get a Büchner brew I like, only with a ratio as small as 1:10 ?
I’d like to thank Matt Perger, Scott Rao and Chris Hendon for useful discussions.

I have recently been using finer grind and lower brew ratios (1:13 to 1:15) and I really taste the difference. Most of all, it is more consistent. I don’t have any means to measure EY but after adjusting it for the same amount of liquid in my cup compared to a normal 60g/L brew, I can easily notice that it is a little stronger in terms of flavors.
LikeLike
Keep this up! So interesting. What Bypass % you playing around with? I normally bypass 20% at home because with bad burrs and average water coffee tastes bad at high extraction.
LikeLike
Thanks ! I have not played a lot with bypass yet, but I would not choose a fixed bypass. Instead I would change the ratio, and adjust to a desired TDS afterward.
LikeLike
Is there any reason something like the delta press or the itsamerican press can’t control the flow through rates? Still a percolation brew, just pressed through with positive pressure. I’ve been working to try to develop a mod for aeropress to be able to do this.
LikeLike
I’m not sure what you mean by “control the flow”, do you mean have a very stable flow with some machine that adjusts the pressure as it goes ?
LikeLike
I used to do high tds brews with a very fine grind for iced coffee in the summer and using ice in the server to bring it down to a lower tds and then adding ice to make it cold. My CBR was about 1:12 and my projected tds was about 2.2. The amount of ice I used was projected to bring it down to about 1.6 before it was cold enough to minimally melt more. It worked great and was an explosion of flavor. Never did it as a hot drink though and didn’t save the data before I left the USA in 2015. 😕 I was using an 03 V60 and BIG doses, I think maybe 60-70 g (actually maybe 75g) and maybe around 2:00 brew times but that is a guess. Definitely very short times esp considering the massive dose size. 🤷🏻♂️FWIW
LikeLike
Thanks for sharing your insights.
Bypass sounds intresting for managing brew times.
Higher agitation could also be worth locking at it, maybe it leads to more uniform extraction? I often get good results with coarse grind, low temperature and high agitation. Meaning high flow and high position above the filter. Draw Down 2:15min.
LikeLike
slight necro here, but I’m curious if you’re familiar with the hypothesis by Prof. Steven Abbott who did a lecture for Barista Hustle a while back that the astringency commonly thought of as “overextraction” isn’t exactly overextraction at all, but an almost separate yet related extraction happening more due to mechanical forces of the water than chemical ones. Can’t link the lecture as it’s behind BH paywall, but the gist of it was that the compounds associated with astringency are relatively poorly soluble due to their large and bulky size, and get extracted at a much higher rate when there is turbulent flow adjacent to them, typically caused by channeling on a microscopic scale that despite not impacting the flow rate very much macroscopically has a large impact on which coffee particles see a lot of water activity. i think the formula he used was that doubling the size of the gap between two particles causes 16x the flow through said gap, thereby giving the water much more energy to pull loose these stubborn molecules.
To me this seems to line up with your findings; as you go finer you’re experiencing more astringency not due to the slowing of the flow as much as the increased surface area exposing more of these bulky compounds, and the minor increase in microchanneling is exacerbating the unwanted extraction
LikeLike
It’s totally possible yes. In any case, the bad tasting compounds are probably much larger molecules that take longer to extract. But yes, maybe they even need active flow of water to end up in the cup, like fines or other undissolved solids.
LikeLike
I agree with Dan concerning iced coffee. I do an espresso grind and a 1:10 ratio over ice. Using 98C water and an untabbed v60 filter for a faster flow rate and I’ve never had a stalled or choked brew.
Always tasty, very high extraction and tds- albeit I have no tools for measurement. But it’s easy to taste the difference.
LikeLike
I watched the same video by Matt Perger just recently and it gave me so many ideas for experiments. Searching more I came across your blog and discovered that you have done the experiments already – and with much greater rigor than I would ever achieve. This of course saves me a lot of time in the kitchen, time which is better spent reading your blog. Thank you so much for sharing your insights!
I too was very intrigued by the idea that the outermost shell (~100 microns) of each coffee particle is “completely extracted” in a normal pour over. My first thought was that an Aeropress (or using vacuum on a Büchner filter like you do) would be ideal to explore this strategy as they separate grind size from extraction time. I recon that you so far have concluded that Matt Perger’s “aim for higher extraction” is only valid within certain limits? And that if you have (too many) fines, these eventually will become over extracted even in a normal pour over. Is this correctly understood?
LikeLike